来源:新华社 时间:2025-11-22 22:07:27 热度:871 播放
天津大学人工智能学院于强教授团队联合国际科研人员,在神经网络信息处理机制研究中取得重要突破。该研究聚焦于大脑神经网络的“基本零件”——突触,首次揭示了其处理时空信息的核心机制。相关成果于11月22日发表于国际著名学术期刊《美国科学院院刊》(PNAS)。
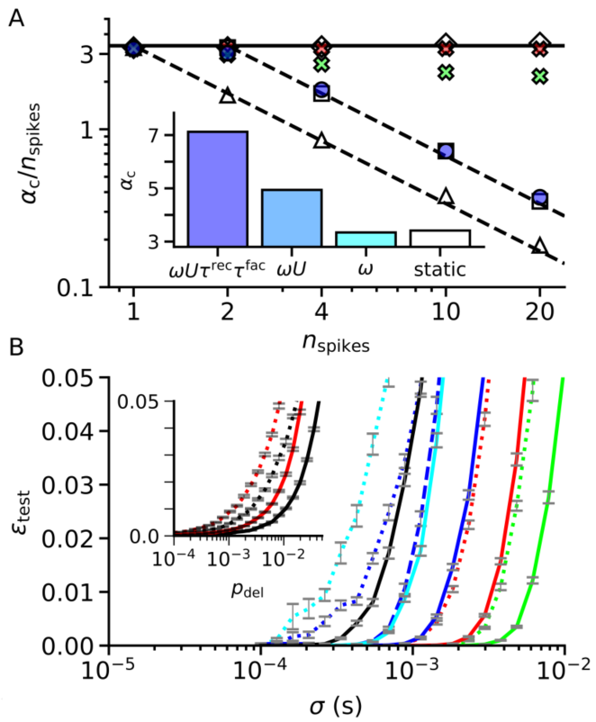
人类大脑中,数以亿计的神经元以脉冲的形式,通过“突触”这一连接点传递和处理信息。对其工作机制的模拟与计算,是人工智能领域发展的重要启发源泉。具体而言,突触具有两种关键的调节能力:一种是“长时可塑性”,即其连接强度可以长期增强或减弱,这被认为是形成长期记忆的基础;另一种是“短时可塑性”,指的是在极短时间内动态调节信号强度的能力。尽管两者均至关重要,但它们如何协同工作,共同影响大脑的学习与信息处理效率,一直是未解之谜。
针对这一难题,研究团队通过构建突触计算与学习理论模型,发现当“长时可塑性”作用于“短时可塑性”时,大脑能够将时间序列上的信息转化为空间上的表达模式。这一机制显著增强了神经网络的记忆容量、抗干扰能力以及对复杂时空信息的识别能力。该模型还在小鼠与人类大脑皮层突触电生理观测中得到了验证,显示出高度的生物合理性。

图为神经网络存储容量和噪声鲁棒性分析结果。(受访者供图)
“这项研究就像是我们找到了大脑在处理信息时的‘协作密码’。”于强比喻道,“它不仅解释了大脑处理信息的底层逻辑,也为开发可解释、可通用的下一代人工智能方法提供了重要支撑。”(记者张建新、栗雅婷)
(责任编辑:秋彤)
2026-05-14
2026-05-14
2026-05-13
2026-05-13
2026-05-13
2026-05-13